The concept of black body radiation is central to physics, astrophysics, and thermodynamics, providing insight into the thermal properties of objects and the colors of stars. Let's delve into the black body radiation curve, its mathematical derivation, and its relevance to the colors of stars.
A black body is an idealized physical object that absorbs all electromagnetic radiation that falls onto it, regardless of frequency or angle of incidence. When a black body is heated, it emits radiation across a spectrum of wavelengths, described by the Planck radiation law.
The spectrum peaks at a wavelength inversely proportional to the temperature of the black body (Wien's displacement law).
The total energy emitted increases rapidly with temperature (Stefan-Boltzmann law).
The curve's shape depends only on the temperature and not on the material.
The curve shows that as the temperature increases:
The peak wavelength shifts to shorter wavelengths (toward blue/violet).
The intensity of radiation increases at all wavelengths.
The black body radiation curve was derived through quantum mechanics, resolving the "ultraviolet catastrophe" of classical physics.
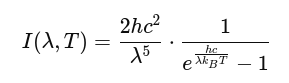
The energy emitted per unit area, per unit time, per unit wavelength, is given by:
Where:
I(λ,T): Intensity of radiation at wavelength λ and temperature T,
h: Planck's constant (6.626×10−34J\cdotps),
c: Speed of light (3.0×108m/s),
λ: Wavelength of radiation,
kB: Boltzmann constant (1.38×10−23J/K),
T: Temperature in kelvins.
Energy Quantization: Planck postulated that energy is quantized and emitted in discrete packets called quanta. E=hν=λhc
Density of States: Using principles of statistical mechanics, the number of allowed modes of electromagnetic waves in a cavity was calculated.
Probability Distribution: The Boltzmann factor was used to weigh the likelihood of photons occupying these energy states.
Result: Combining these factors led to Planck's radiation formula.
Stars approximate black body radiators, and their visible colors are directly linked to their surface temperatures.
Where:
λpeak: Wavelength of peak emission,
b: Wien's constant (2.897×10−3m\cdotpK),
T: Temperature in kelvins.
Cooler stars (~3000 K) emit peak radiation in the red part of the spectrum.
Hotter stars (~10,000 K) emit peak radiation in the blue/violet part of the spectrum.
Intermediate stars like the Sun (~5800 K) peak in green but appear white due to the combination of wavelengths.
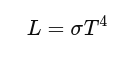
Where:
L: Luminosity,
σ: Stefan-Boltzmann constant,
T: Temperature.
This law explains why hotter stars are more luminous than cooler stars.
Star Classification:
Stars are categorized into spectral classes (O, B, A, F, G, K, M) based on their temperature and resulting colors.
O stars are hot and blue, while M stars are cool and red.
Cosmic Insights:
Observing the spectrum of a star allows astronomers to determine its temperature, age, and composition.
The cosmic microwave background (CMB) radiation is a relic black body spectrum with a temperature of ~2.73 K, providing evidence of the Big Bang.
Star Evolution:
As stars age, their temperatures and spectra shift, providing clues about their life cycles.
The black body radiation curve not only explains the colors of stars but also forms a cornerstone of quantum mechanics and astrophysics. By studying these curves, we gain profound insights into the universe's structure, evolution, and fundamental laws.